正航技術整理溫度計量名詞術語規范
時間:2015-06-19 08:45 來源:正航儀器 作者:正航網絡
正航技術整理溫度計量名詞術語規范
一般術語
1 熱平衡 (Thermal equilibrium)
當物休吸收的熱量等于放出的熱量,物體各部分都具有相同的溫度時,物體呈熱平衡;
或兩個以及多個物體之間,通過熱量交換,彼此都具有相同的溫度時,物體間呈熱平衡。
2 溫度 (Temperature)
溫度是描述系統不同自由度之間能量分布狀況的基本物理量。溫度是決定一系統是否與
其他系統處于熱平衡的宏觀性質,一切互為熱平衡的系統都具有相同的溫度。
分子運動論以微觀的角度來觀察,溫度是與大量分子的平均動能相聯系,它標志著物體
內部分子無規則運動的劇烈程度。
注:
溫度是七個基本物理量之一。
3 測溫學 (Thermometry)
研究溫度測量的理論和方法。
4 溫標 (Temperature scale)
溫度的數值表示法。
5 經驗溫標 (Experimental temperature scale)
借助于某物質的物理參量與溫度變化的關系,用實驗方法或經驗公式構成的溫標。
例:
現行的實用溫標,曾采用過的攝氏溫標和華氏溫標等。
6 熱力學溫標 (Thermodynamic temperature scale)
以熱力學第二定律為基礎的溫標。
注:
根據卡諾定理的推論可知,工作于兩個恒定熱源之間的一切可逆卡諾熱機的效率與工作
物質無關,只與兩個熱源的溫度有關。這樣定義的溫標稱為熱力學溫標或開爾文溫標。
7 熱力學溫度 (Thermodynamic temperature)
按熱力學原理所確定的溫度。
注:
熱力學溫度是既能統一,又能描述熱力學性質和現象的溫度。
8 開爾文 (Kelvin)
熱力學溫度的單位。開爾文定義為水三相點熱力學溫度的 1/273.16。符號為K。
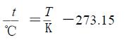
9 攝氏溫度 (Celsius temperature)
以熱力學溫度與比水三相點低 0.01 K 的熱狀態之差來表示的溫度。符號為℃。
注:
攝氏溫度 t 與熱力學溫度T 之間的數值關系為:

10 攝氏度 (Degree Celsius)
是攝氏溫度的單位,它的大小等于開爾文。
11 實用溫標 (International Practical Temperature Scale)
由協議而采用的易于高精度復現,并在當時知識和技術水平范圍內盡可能接近熱力
學溫度的經驗溫標。
注:
(1) 現行的實用溫標是“1968 年實用溫標(1975 年修訂版)”。它包括13 個定
義固定點 (這些固定點已由氣體溫度計做了的測定);規定的內插儀器和溫度與相應物
理量的函數關系。
(2) 1976 年0.5~30 K暫行溫標 (1976 Provisional 0.5~30 KTemperature Scale) 屬于暫時
補充1968 年實用溫標的溫標,它包括11 個固定點并賦予一定的熱力學溫度值。各固定
點之間的溫度值可用氣體溫度計或磁溫度計來實現。5.2 K以下可使用3He 和4He 蒸氣壓溫
標。EPT-76 通過鍺溫度計或銠鐵溫度計等次級標準溫度計傳遞。
12 溫標的復現 (Realization of a temperature scale)
按溫標的文本所規定的程序操作。
13 溫標的次級復現 (Secondary realization of a temperaturescale)
指一處或幾處偏離溫標的文本所規定的程序操作。
注:
“次級復現”與溫標的偏離值應有所規定。
14 溫度計 (Thermometer)
測量溫度的儀器。
15 (溫度計的) 檢定 (Verification)
為評定溫度計的計量性能 (準確度、穩定性、靈敏度等) 并確定其是否合格所進行的全
部工作。
16 (溫度計的) 分度 (Calibration)
溫度計獲得被測參數與溫度之間的關系的過程。
注:
(1) 復現法分度是指在溫標復現中,把溫度計當作內插儀器而獲得結果的過程。
(2) 比較法分度是指在可變等溫場中與已分度的溫度計作比較的過程。
17 (溫度測量的) 復現性 (Reproducibility)
由不同的觀測者、用不同的測量方法,使用不同的溫度計量儀器,在不同的地點,于一
段時間間隔內,對同一被測的溫度進行測量時,其結果之間的符合程度。
注:
復現性可用測量結果的分散性來定量表示。
18 (溫度測量的) 重復性 (Repeatability)
由同一觀測者、用相同的測溫方法,使用同一溫度計量儀器,在同一地點,于很短的時
間間隔內,對同一被測溫度作多次測量時,其結果之間的符合程度。
19 (溫度計的) 穩定性 (Stability)
溫度計具有保持其計量特性恒定的能力。
注:
通常穩定度是指對時間的穩定度,當考慮對別的量的穩定度時,應該明確規定。
20 非性 (Non-uniqueness)
將在固定點下已分度的溫度計插入均勻溫場中,按規定的公式計算各溫度計在固定點之
間的溫度,各溫度計指示的相互差異就是溫標定義的非性。
21 (溫度計的) 靈敏度 (Sensitivity)
溫度計的響應變化除以相應的激勵變化。
22 (溫度計的) 時間常數 (Time constant)
由于被測量的階躍變化,計量儀表輸出上升到最終值的63.2%時所需的持續時間。
23 (溫度計的) 響應時間 (Response time)
激勵受到突變時刻起,直至響應到達某一規定時刻為止的時間間隔。
24 (溫度計的) 漂移 (Drift)
溫度計的計量特性隨時間的慢變化。
25 溫度傳感器 (Temperature sensor or transducer)
凡直接或非直接受被測溫度場作用并進行信息轉換的元件。
26 相 (Phase)
是系統中物理性質均勻的部分。這是物質分子集結的特定形式。
27 相變 (Phase transition)
在特定的溫度和壓強下,一種相可以轉變為另一種相,稱為相變。
注:
對于單元系,體積發生變化,并伴有相變潛熱的相變稱為一級相變,例如,固體熔化為
液體,液體汽化為氣體,固體升華為氣體;體積不發生變化,也沒有相變潛熱。只是熱容量、
熱膨脹系數、等溫壓縮系數三者發生突變的相變稱為二級相變。
例如:
液態氦Ⅰ和氦Ⅱ間的轉變,超導體由正常態轉變為超導態均屬于此類相變。
一般術語
1 熱平衡 (Thermal equilibrium)
當物休吸收的熱量等于放出的熱量,物體各部分都具有相同的溫度時,物體呈熱平衡;
或兩個以及多個物體之間,通過熱量交換,彼此都具有相同的溫度時,物體間呈熱平衡。
2 溫度 (Temperature)
溫度是描述系統不同自由度之間能量分布狀況的基本物理量。溫度是決定一系統是否與
其他系統處于熱平衡的宏觀性質,一切互為熱平衡的系統都具有相同的溫度。
分子運動論以微觀的角度來觀察,溫度是與大量分子的平均動能相聯系,它標志著物體
內部分子無規則運動的劇烈程度。
注:
溫度是七個基本物理量之一。
3 測溫學 (Thermometry)
研究溫度測量的理論和方法。
4 溫標 (Temperature scale)
溫度的數值表示法。
5 經驗溫標 (Experimental temperature scale)
借助于某物質的物理參量與溫度變化的關系,用實驗方法或經驗公式構成的溫標。
例:
現行的實用溫標,曾采用過的攝氏溫標和華氏溫標等。
6 熱力學溫標 (Thermodynamic temperature scale)
以熱力學第二定律為基礎的溫標。
注:
根據卡諾定理的推論可知,工作于兩個恒定熱源之間的一切可逆卡諾熱機的效率與工作
物質無關,只與兩個熱源的溫度有關。這樣定義的溫標稱為熱力學溫標或開爾文溫標。
7 熱力學溫度 (Thermodynamic temperature)
按熱力學原理所確定的溫度。
注:
熱力學溫度是既能統一,又能描述熱力學性質和現象的溫度。
8 開爾文 (Kelvin)
熱力學溫度的單位。開爾文定義為水三相點熱力學溫度的 1/273.16。符號為K。
9 攝氏溫度 (Celsius temperature)
以熱力學溫度與比水三相點低 0.01 K 的熱狀態之差來表示的溫度。符號為℃。
注:
攝氏溫度 t 與熱力學溫度T 之間的數值關系為:

10 攝氏度 (Degree Celsius)
是攝氏溫度的單位,它的大小等于開爾文。
11 實用溫標 (International Practical Temperature Scale)
由協議而采用的易于高精度復現,并在當時知識和技術水平范圍內盡可能接近熱力
學溫度的經驗溫標。
注:
(1) 現行的實用溫標是“1968 年實用溫標(1975 年修訂版)”。它包括13 個定
義固定點 (這些固定點已由氣體溫度計做了的測定);規定的內插儀器和溫度與相應物
理量的函數關系。
(2) 1976 年0.5~30 K暫行溫標 (1976 Provisional 0.5~30 KTemperature Scale) 屬于暫時
補充1968 年實用溫標的溫標,它包括11 個固定點并賦予一定的熱力學溫度值。各固定
點之間的溫度值可用氣體溫度計或磁溫度計來實現。5.2 K以下可使用3He 和4He 蒸氣壓溫
標。EPT-76 通過鍺溫度計或銠鐵溫度計等次級標準溫度計傳遞。
12 溫標的復現 (Realization of a temperature scale)
按溫標的文本所規定的程序操作。
13 溫標的次級復現 (Secondary realization of a temperaturescale)
指一處或幾處偏離溫標的文本所規定的程序操作。
注:
“次級復現”與溫標的偏離值應有所規定。
14 溫度計 (Thermometer)
測量溫度的儀器。
15 (溫度計的) 檢定 (Verification)
為評定溫度計的計量性能 (準確度、穩定性、靈敏度等) 并確定其是否合格所進行的全
部工作。
16 (溫度計的) 分度 (Calibration)
溫度計獲得被測參數與溫度之間的關系的過程。
注:
(1) 復現法分度是指在溫標復現中,把溫度計當作內插儀器而獲得結果的過程。
(2) 比較法分度是指在可變等溫場中與已分度的溫度計作比較的過程。
17 (溫度測量的) 復現性 (Reproducibility)
由不同的觀測者、用不同的測量方法,使用不同的溫度計量儀器,在不同的地點,于一
段時間間隔內,對同一被測的溫度進行測量時,其結果之間的符合程度。
注:
復現性可用測量結果的分散性來定量表示。
18 (溫度測量的) 重復性 (Repeatability)
由同一觀測者、用相同的測溫方法,使用同一溫度計量儀器,在同一地點,于很短的時
間間隔內,對同一被測溫度作多次測量時,其結果之間的符合程度。
19 (溫度計的) 穩定性 (Stability)
溫度計具有保持其計量特性恒定的能力。
注:
通常穩定度是指對時間的穩定度,當考慮對別的量的穩定度時,應該明確規定。
20 非性 (Non-uniqueness)
將在固定點下已分度的溫度計插入均勻溫場中,按規定的公式計算各溫度計在固定點之
間的溫度,各溫度計指示的相互差異就是溫標定義的非性。
21 (溫度計的) 靈敏度 (Sensitivity)
溫度計的響應變化除以相應的激勵變化。
22 (溫度計的) 時間常數 (Time constant)
由于被測量的階躍變化,計量儀表輸出上升到最終值的63.2%時所需的持續時間。
23 (溫度計的) 響應時間 (Response time)
激勵受到突變時刻起,直至響應到達某一規定時刻為止的時間間隔。
24 (溫度計的) 漂移 (Drift)
溫度計的計量特性隨時間的慢變化。
25 溫度傳感器 (Temperature sensor or transducer)
凡直接或非直接受被測溫度場作用并進行信息轉換的元件。
26 相 (Phase)
是系統中物理性質均勻的部分。這是物質分子集結的特定形式。
27 相變 (Phase transition)
在特定的溫度和壓強下,一種相可以轉變為另一種相,稱為相變。
注:
對于單元系,體積發生變化,并伴有相變潛熱的相變稱為一級相變,例如,固體熔化為
液體,液體汽化為氣體,固體升華為氣體;體積不發生變化,也沒有相變潛熱。只是熱容量、
熱膨脹系數、等溫壓縮系數三者發生突變的相變稱為二級相變。
例如:
液態氦Ⅰ和氦Ⅱ間的轉變,超導體由正常態轉變為超導態均屬于此類相變。
?
本頁關鍵詞:溫度計量名詞術語規范







